Problem:
Given a linked list, determine if it has a cycle in it.
To represent a cycle in the given linked list, we use an integer pos which represents the position (0-indexed) in the linked list where tail connects to. If pos is -1, then there is no cycle in the linked list.
Example 1:
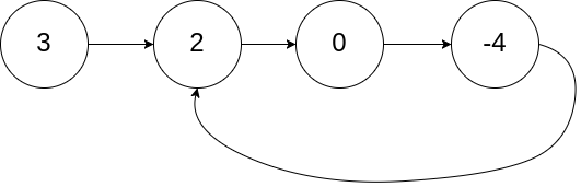
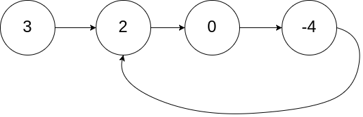
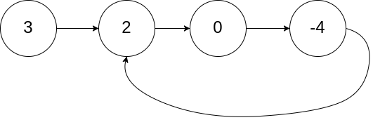
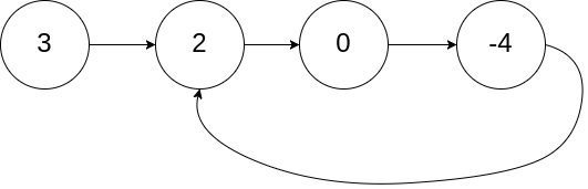
Input: head = [3,2,0,-4], pos = 1
Output: true
Explanation: There is a cycle in the linked list, where tail connects to the second node.

Example 2:
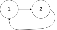
Input: head = [1,2], pos = 0
Output: true
Explanation: There is a cycle in the linked list, where tail connects to the first node.

Example 3:
Input: head = [1], pos = -1
Output: false
Explanation: There is no cycle in the linked list.

-Summary-
Using Tortoise and Hare algorithm
1. keep move slow(move1) and fast(move2) until both are meet
2. if slow or fast can't move anymore, which means it does not have a cycle.

오늘도 새로운 알고리즘과 푸는 방법들을 새로 배운다.
leetcode.com/problems/linked-list-cycle/discuss/44607/In-place-Python-code-beats-90
def hasCycle(self, head):
fast = slow = head
while slow and fast and fast.next:
slow = slow.next # Step of 1
fast = fast.next.next # Setp of 2
if slow is fast: # Checking whether two pointers meet
return True
return False
모든 문제에 대한 저작권은 LeetCode 회사에 있습니다. [Copyright © 2020 LeetCode]
'LeetCode > Top Interview Q. - Easy' 카테고리의 다른 글
| LeetCode. Validate Binary Search Tree [Trees] (0) | 2020.06.06 |
|---|---|
| LeetCode. Maximum Depth of Binary Tree [Trees] (0) | 2020.06.05 |
| LeetCode. Palindrome Linked List [Linked List] (0) | 2020.06.04 |
| LeetCode. Merge Two Sorted Lists [Linked List] (0) | 2020.06.03 |
| LeetCode. Reverse Linked List [Linked List] (0) | 2020.06.03 |
댓글